반복 인사 업무를 자동화하고 업무 효율을 높여보세요.

‘LTV/CAC 비율’이란?

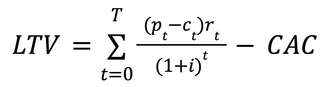
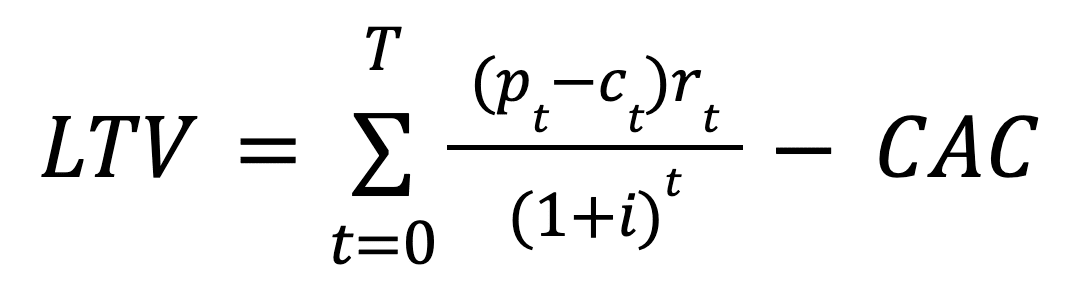
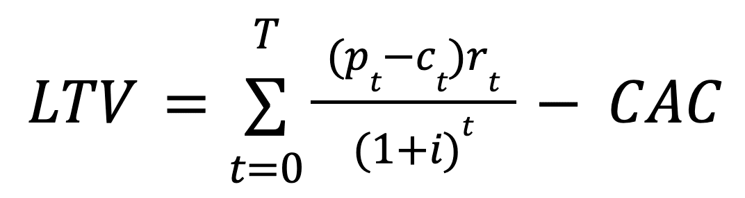
LTV/CAC 비율은 고객생애가치(LTV·Lifetime Value, 한 고객이 해당 서비스를 이용하는 동안 생성하는 수익)를 고객획득비용(CAC·Customer Acquisition Cost, 신규 고객을 확보하는데 투자한 비용)으로 나눈 비율을 말해요. 고객을 확보하는 데 얼마를 투자하였는지와 해당 고객들로부터 총 수익을 비교해, 투자수익률(ROI)을 측정하는 지표라고 볼 수 있죠.

LTV/CAC 비율은 스타트업의 재무 효율성을 분석하는 가장 중요한 재무 지표에 해당하며, 지속해서 고객을 확보하고 이익을 창출할 수 있는지 비즈니스의 지속 가능성을 판단하는 척도이기 때문에 스타트업 대표, CFO라면 반드시 정확히 이해하고 관리해야 할 지표 중 하나예요.

https://res.cloudinary.com/zuzu-homepage/image/upload/f_auto,q_auto/v1730098755/vknvqnkyxfduszhqi4kx.png

LTV/CAC 비율 계산식

‘LTV/CAC 비율’을 올바르게 해석하는 방법

1. 적정한 LTV/CAC 비율의 기준

LTV/CAC 비율의 가장 기본적인 원칙은 이 값이 1보다 높아야 한다는 것이예요. 이 값이 1보다 작다면, 고객을 확보하기 위해 투자한 비용이 최종적으로 회수되는 수익보다 더욱 크기 때문에 손해가 발생하고 지속 가능한 비즈니스를 운영할 수 없어요.

LTV/CAC 비율이 1보다 얼마나 높아야 하는지는 비즈니스의 성격과 전략에 따라 다를 수 있어요. 일반적으로 좋은 LTV/CAC 비율의 기준3입니다.이는 고객으로부터 생성되는 수익이 고객획득비용의 3배 이상 되고, 다른 비즈니스 비용을 상쇄할 뿐 아니라 이익을 창출하기 위해 충분하다는 것을 의미해

단, 대부분의 초기 스타트업의 경우 LTV/CAC 비율이 3 이하인 것이 일반적이예요. 초기 스타트업은 GTM(고객 유치 및 유지) 전략을 수립 및 수정하고, 빠른 성장을 위해 공격적으로 투자하는 단계로, 대표적인 글로벌SaaS 스타트업인‘HubSpot 역시 수년간 LTV/CAC 비율을 2 이하로 유지한 것으로 알려져있어요.

2. LTV/CAC 비율이 높을 때

LTV/CAC 비율이 1보다 높다면 이익 창출에 대한 좋은 신호이지만, 이 비율이 너무 높지 않도록 주의해야 하여야해요. 이론적으로 5대 1의 LTV/CAC 비율은 훌륭해 보일 수 있지만, 영업과 마케팅에 자원을 최대로 활용하지 않고 있다는 것을 나타낼 수 있습니다. CAC 비용에 더 많은 자금을 투자하지 않으면 큰 성장 기회를 놓칠 수 있는 것이죠.

현재 진행 중인 전략이 효과적인 것이 검증되었고 비즈니스를 추가 확장하고자 한다면, CAC에 더 많이 투자하고 시장 점유율과 매출을 늘을 수 있어요. 만약 CAC 투자를 위해 매출 파이낸싱 등 지분 희석 없는 대출 형태의 자금을 활용한다면, 자금 조달 비용을 포함한 CAC 및 자본이익률, 멀티플을 계산하고 그 결과에 따라 지분 희석 없이 지속 성장할 수 있는 성장 선순환 파이낸싱 구조를 확보할 수도 있어요.

3. LTV/CAC 비율이 낮을 때

LTV/CAC 비율이 원하는 수준에 도달하지 못한 경우, LTV/CAC를 세분화하여 지표를 개선하기 위한 액션 아이템을 도출하는 것이 중요해요. 예를 들어, LTV에 영향을 미치는 요소로는 ARPU(Average Revenue Per User·이용자당 평균 매출), 총이익 마진, 이탈률 등이 있을 수 있습니다. 각 세분화된 지표를 확인하고 LTV/CAC를 개선하기 위한 가설을 수립하여 구체적인 개선 방향을 모색해야 해요.

한편, LTV/CAC 비율이 낮을 경우, 높은 가치의 고객을 확보하는 데 비효율적인 상태임을 뜻하기 때문에 보유 현금이 줄어들고 외부 자본의 추가 투입이 필요하게 되어요. LTV/CAC 비율을 최적화하기까지 투자, 대출, 매출 파이낸싱 등 다양한 경로로 자금을 선제적으로 확보하고, 불필요한 비용은 최소화하는 것이 좋아요.

스타트업 대표, CFO가 ‘LTV/CAC 비율’을 잘 활용하는 방법

1. 블렌디드가 아닌 세그먼트 지표 측정하기

고객 세그먼트 및 코호트 또는 획득 채널과 무관하게 모든 고객의 LTV와 모든 영업 및 마케팅 비용을 포함한 CAC를 활용하여 계산한 1개의 광범위한 LTV/CAC 비율 지표를 ‘블렌디드(Blended) LTV/CAC 비율 지표’라고 하는데요. 블렌디드 LTV/CAC 비율은 계산하기 쉽다는 장점이 있지만, 정확성이 떨어지고 데이터를 통해 얻을 수 있는 인사이트가 제한적이라는 단점이 있어요.

LTV/CAC 비율을 잘 활용하기 위해서는 항상 코호트 기반의 LTV, CAC를 활용해 세그먼트 지표를 계산해야 해요. 그래야 고객군, 획득채널 등 각 세그먼트를 대상으로 GTM 전략을 수립하고 최적화할 수 있습니다. 예를 들어, LTV가 낮은 고객 세그먼트의 경우 더 낮은 CAC 한도를 설정하거나, LTV가 높은 세그먼트의 경우 CAC 비용을 추가 투입하기로 의사결정 할 수 있는 것이죠.

또한, 이러한 세그먼트 지표는 투자자와의 커뮤니케이션 시에도 큰 도움이 될 수 있어요. 시리즈 A/B 단계 이후로는 투자자들이 유닛 이코노믹스가 개선되고 있는 것을 확인하길 원할 텐데요. 세그먼트 LTV/CAC 비율은 고객 세그멘트별 LTV/CAC를 계산하고 계속하여 최적화하고 있다는 것을 보여주는 좋은 방법이예요.

2. 효율적으로 예산 책정 및 분배하기

스타트업은 영업 및 마케팅을 통해 고객을 확보하기 위해 상당한 자금을 투자해야 하죠. 그러나 얼마나 투자해야 할까요? 이상적인 LTV/CAC 비율을 알고 있다면 그 반대로 계산하여 투자해야 할 금액을 파악할 수 있어요. 예를 들어, 희망하는 고객의 LTV가 100만 원이고, LTV/CAC 비율을 3대 1로 설정하고자 한다면, 획득비용으로 약 33만 원을 투자해야 합니다. 이러한 방식으로 LTV/CAC 비율 기반으로 예산을 책정하면, CAC에 너무 많거나 적게 투자하는 것을 방지할 수 있어요.

또한, 세그먼트 기반 측정한 LTV/CAC 지표를 기반으로 더욱 효율적으로 예산을 분배하고 사용할 수도 있어요. 어떤 고객군과 마케팅·영업 채널에 투자를 늘려야 하고 어떤 곳에 비용을 줄여야 하는지 판단할 수 있는 근거가 있기 확실히 있기 때문인데요. 가장 효율적인 마케팅 채널과 수익성이 높은 고객군을 파악하여 예산을 분배하면 우리 비즈니스에 높은 수익을 발생시키는 고객군을 획득하는 방식으로 GTM 전략을 발전시키며 예산의 ROI를 높일 수 있어요.

아울러, CEO와 CFO는 이 지표를 전사적으로 전파하여 각 부서와 팀을 수익성을 중심으로 일치시키는 강력한 도구로 활용할 수 있어요. 지표를 통해 구성원에게 비즈니스의 지속 가능성과 성장성에 대해 명확히 소통할 수 있으며, 각 부서에 LTV/CAC 비율 지표를 개선하는 권한을 부여하고 비즈니스 성장을 도모할 수 있죠.

3. 비즈니스 성장 속도와 현금 흐름 예측하기

CAC와 LTV는 비즈니스 성장 속도와 현금 흐름에 중대한 영향을 미치기도 해요. CAC에 따라 매출이 발생하는 속도와 효율이 달라지며, LTV는 매출 규모를 결정하기 때문이예요. 따라서 LTV/CAC 비율에 따라 비즈니스 성장 속도와 현금흐름을 예측할 수 있기도 해요.

아래는 고객 획득 채널에 따른 CAC와 LTV 그래프예요.이 회사의 경우 직접 판매(Direct Sales)가 장기적으로 ROI가 가장 높은 것을 확인할 수 있어요. 그러나 직접 판매는 CAC가 높고 LTV 회수가 늦은 편이라, 직접 판매를 중심으로 빠른 성장을 계획한다면 단기적으로 현금이 부족할 수 있음을 예상할 수 있지요.

CEO와 CFO는 LTV/CAC 비율과 함께 CAC payback period(회수 기간)를 고려하고, 비즈니스 성장 속도와 현금 흐름을 예측하고 그 속도와 전략을 조절할 수 있어요. 예를 들어, 간편한 매출 파이낸싱 등 대출 형태의 추가 자본을 확보하고 직접 판매를 통해 빠르게 성장하는 전략을 택하거나, 비교적 현금 회수가 빠른 다른 채널에 예산 분배를 늘려 성장 속도를 늦추고 보수적으로 매출을 늘리는 방법을 택할 수 있죠.

CFO SHARE

LTV/CAC 비율을 현명하게 활용하고, 건강하고 빠르게 성장하세요

LTV/CAC 비율은 단순히 고객획득비용과 고객생애가치를 비교하는 데에 그치지 않고 다양한 측면에서 유용한 인사이트를 제공해요. 종합적으로는 비즈니스의 건전성과 지속 가능성을 나타내는 지표이며, 회사의 성장 속도와 규모가 얼마나 빠르게 예상되는지를 알려주고, 자본을 얼마나 효과적으로 사용하는지를 파악하여 비즈니스 전략을 개선할 수 있도록 도와주기도 해요.

클로브 금융 이용 방법 자세히 보기

LTV/CAC 비율을 최적화하고 계신가요? 클로브 금융에서 지분 희석 없이 지속적으로 조달 가능한 CAC를 위한 자금을 확보하고 LTV/CAC를 개선해보세요.

 

투자유치와 인재 리텐션을 ZUZU 하나로 끝내세요

더 알아보기
* 본 웹사이트는 코드박스를 소개하고 코드박스가 취급하는 서비스에 관한 일반적인 정보를 제공하기 위한 것일 뿐, 법률적 자문이나 해석을 위해 제공된 것이 아닙니다. 본 웹사이트에 게재된 내용과 관련하여 본 웹사이트의 접속자에게 발생할 수 있는 일체의 직ㆍ간접적 손해에 대하여 코드박스는 어떠한 법적 책임도 지지 아니하며, 본 웹사이트에 게재된 내용에만 기초하여 어떠한 행위를 하는 것은 법률적 위험을 수반할 수 있으므로, 본 웹사이트에 게재된 내용과 관련하여 어떠한 의문이 있을 경우에는 반드시 전문가에게 자문을 구하시기 바랍니다. 본 웹사이트에 게재된 내용들은 코드박스의 사전동의 없이 어떠한 형태로도 재생, 복사, 배포될 수 없음을 유의하시기 바랍니다.

기업 운영에 꼭 필요한
가이드와 백서 콘텐츠를 받아보세요!

프로필

clobe(실시간 현금 기반 재무 관리 서비스)

클로브는 실시간으로 집계되고 자동으로 라벨링되는 진짜 현금흐름으로 기업의 현금 기반 재무 관리를 돕고, 미래 매출을 현금화할 수 있는 레베뉴마켓으로 기업의 자금 조달을 지원합니다.

 클로브 바로 가기 / 레베뉴마켓 바로 가기

에디터 글 더 보기